
紫台 通 讯
第2期
中科院紫金山天文台综合办公室编 2014年4月

紫金山天文台召开新一届领导班子宣布大会

2014年2月28日,下午,紫金山天文台召开新一届领导班子宣布大会。中国科学院党组成员、副院长詹文龙、中科院人事局局长李和风、南京分院院长周健民、党组书记张兴中、省委组织部季晓天处长出席大会,会议由南京分院党组书记张兴中主持。紫台领导班子成员、党委委员、纪委委员、机关职能部门、支撑系统负责人、副高级及以上专业技术人员、党支部书记及职代会代表、民主党派、离退休人员代表、机关全体工作人员等100余人参加了会议。
李和风局长宣读中国科学院、中共中国科学院党组对紫金山天文台新班子职务任免的通知。杨戟任紫金山天文台台长、张丽萍、常进、赵长印任紫金山天文台副台长,张丽萍同志任中共紫金山天文台党委书记。
詹文龙副院长代表院党组为甘为群同志颁发了荣誉证书,并发表重要讲话。他充分肯定了紫台上一届领导班子取得的各项成绩,高度评价了他们为研究所的创新发展所做出的重要贡献,并代表院党组表示衷心感谢;同时,对新一届领导班子表示祝贺并提出了几点希望:
一、贯彻习近平总书记提出的“四个率先”重要讲话精神,认真组织实施“创新2020”,推进落实“一三五”规划。希望新一届领导班子带领全台职工领会学习习近平总书记视察我院的重要讲话精神,了解白院长传达的院工作总结内容,借鉴我院优秀成果经验,在暗物质空间探测、南极天文观测、空间目标与碎片观测研究方面取得原创性成果,同时要进一步加强重点战略布局,促进重大科技成果产出。以实际行动推进“一三五”规划。
二、进一步加强人才队伍建设,重视杰青人才培养工作。要求紫台新一届领导班子应充分认识到人才工作的重要性和紧迫性,提高现有队伍素质,强化队伍结构,在各方面组织建立起优秀人才队伍。
三.继续加强领导班子建设,努力提高领导干部的思想政治素质、做好党风廉政建设,领导干部要团结一致,不断提高管理能力、管理水平,增强服务意识,从而更好地履行岗位职责。
詹院长最后指出,当前国家天文各项事业呈现非常好的发展势头,紫台应结合自身历史悠久的特点,增强包容性,开好局走好步,牢记使命,为实施创新驱动发展战略,推进“一三五”规划,做出更大贡献。
杨戟台长代表新一届领导班子讲话。他首先感谢了院党组、南京分院和全台职工的支持和信任,感谢全台同志为本单位发展所做出的贡献;他表示:将与班子成员带领全台职工以“四个率先”为指导,团结协作,求真务实,开拓创新,实现 “创新2020”整体共同目标。
基于紫台/上师大联合研究基地的双边学术研讨会
在南京顺利召开

2014年4月11日,基于紫金山天文台和上海师范大学联合研究基地的双边学术研讨会在紫台召开,这是双方自2013年3月联合建立了“南极天文台国家重大科技基础设施科学研究和人才培养基地”后,第一次举行双边学术研讨会。会议由紫台南极天文和射电天文研究部主任史生才研究员主持,紫金山天文台台长杨戟、上海师范大学物理系主任石旺舟教授、黄磊教授、紫台吴雪峰研究员、王红池研究员、人教处吕静老师、金璐老师等参加了会议。
会议开始由杨戟台长致辞,杨台长代表紫台对上师大各位老师的到来表示热烈的欢迎,他感谢上师大在人才联合培养方面所给与的大力支持,并希望通过双方签订的关于人才培养和科研合作的协议,来推动双方在南极天文相关技术领域的共同发展。随后,石旺舟教授与史生才研究员也分别作了讲话。
会议期间,上师大黄磊教授、刘峰博士、赵振宇博士,紫台李婧副研究员、张文副研究员、娄铮副研究员分别围绕自己的研究领域作了学术报告,并回答了参会人员的提问。与会双方还就人才培养和学术研究进行了热烈的讨论,并参观了毫米波和亚毫米波技术实验室。
COSPAR前主席博奈教授访问紫台

2014年3月27-28日,,罗格?博奈教授应邀访问紫金山天文台。博奈教授是瑞典皇家科学院院士,英国皇家天文学会会员。曾任欧洲空间局(ESA)副局长、国际空间研究委员会(COSPAR)主席和国际空间研究所(ISSI)所长等职。是国际著名的空间科学家。博奈教授在听取了紫台总体情况介绍后,详细了解了紫台空间天文的发展情况,针对我台目前正在开展和推进的空间天文项目进行了讨论,提出了一些有益的建议。他还参观了紫台暗物质与空间天文院重点实验室正在承担的暗物质粒子探测卫星研制现场,并参观了山上科普园区。
紫金山天文台召开国家重大科研仪器设备研制专项“太赫兹超导阵列成像系统”交流与考察会

2014年3月6日,,国家重大科研仪器设备研制专项“太赫兹超导阵列成像系统”2013年度交流与考察会在中国科学院紫金山天文台召开。该项目由紫金山天文台史生才研究员负责。项目管理工作组、项目监理组、国家自然科学基金委员会(简称“基金委”)和中国科学院相关部门领导、紫金山天文台副台长赵长印、科技处相关人员、课题组成员等参加了会议。会议由基金委数理学部副巡视员董国轩研究员主持。
赵长印代表紫金山天文台对与会专家和领导表示感谢。解思深院士代表基金委介绍项目执行和管理要求等。史生才代表项目组汇报了项目2013年度的研究目标、主要进展、经费使用以及2014年度工作计划等。项目监理组介绍了监理工作基本情况,对项目组自上次监理以来在管理方面取得的显著进步进行了表扬。管理工作组围绕该项目进度、实施过程和取得进展等进行了充分讨论。管理工作组组长、基金委数理学部常务副主任汲培文作会议总结,对项目组2013年度所取得的进展予以充分肯定,建议项目组加强研制项目科学应用方面的考虑。与会专家和领导现场考察了毫米波与亚毫米波技术实验室。
紫金山天文台对小行星表面热物理研究取得重要进展
2014年3月25日,,Monthly Notices of the Royal Astronomical Society (MNRAS, 英国皇家天文学会月刊) 在线发表了中科院紫金山天文台研究员季江徽研究团队对小行星表面热物理研究成果,研究人员利用光学与红外天文观测数据,获得了目标小行星的三维形状模型,并揭示了其表面热物理特性等新结果。文章题目为《Shape, thermal and surface properties determination of a candidate spacecraft target asteroid (175706) 1996 FG3》。
小行星一般是指围绕太阳运行的体积较小的岩石或金属天体。绝大多数小行星分布于火星和木星轨道之间的主带区域。由于质量较小,因此大多数小行星的形状很不规则。然而,这些体积虽小又无大气的小行星上却可能蕴含了地球生命和水体起源的重要线索,同时也蕴藏着太阳系形成初期的原始信息,因而对其研究具有重要的科学价值。
在众多小行星中,近地天体特别值得关注,因为它们的轨道与地球轨道很接近或相交,存在与地球相撞的可能,因此对地球与人类的安全构成了潜在的危险。2013年2月15日,,俄罗斯车里雅宾斯克陨石事件中一颗直径约15m的小天体在空中发生爆炸致使1200人受伤,近3000座建筑受损,类似事件几十年发生一次。据估计在地球附近存在着数百万颗几十米大小的近地天体,它们撞击地球经常发生,对地球环境、人类和其他生物圈产生重大影响。
面对近地天体对地球与人类生存的威胁,联合国积极行动起来成立了基于国际合作的近地天体预警网络,利用专门的望远镜组成监测预警网络对其进行发现、跟踪与长期监测。国际上也纷纷将近地小行星作为一个空间探测的热点,通过近距离探测了解其物理特性、内部结构与组成成分等,以便将来采取合理的应对措施去减缓威胁。
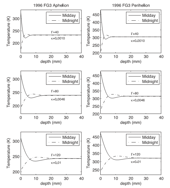
紫台研究人员选择了小行星深空探测候选目标-1996 FG3开展研究,这是一颗C型近地双小行星,具有重要的科学研究价值。对其开展相关研究,不仅有助于揭示YORP效应导致形成双小行星机制与小尺寸近地天体的来源,探索碳质球粒陨石与小行星母体的关系揭示地球生命的可能起源。在本项研究工作中,研究人员利用光学与红外天文观测数据,首先基于光学数据通过光变曲线反演法得到了该小行星的三维形状模型,并通过建立热物理模型计算得到其表面温度分布(图1)。进而利用热物理模型数值拟合多组中红外观测数据,得到了该小行星表面热惯量约为80 Jm-2s-0.5K-1、平均直径约为1.69 km、表面粗糙度约为0.8,据此推测其表面可能存在类似于月壤或Eros小行星表面的风化层,并估算了其表壤最小的厚度约为5-20 mm (图2)。这些研究工作不仅有助于深化认识小行星的热物理特性,还为未来的小行星空间探测任务提供很好的科学依据与支撑。
该项研究工作得到了中国科学院行星科学重点实验室、中国科学院天文战略性先导科技专项(B类)、中国科学院新兴与交叉学科布局项目、国家自然科学基金等项目资助。
有关该研究的详细内容请参阅:http://mnras.oxfordjournals.org/content/439/4/3357.full

图1 1996FG3的三维形状与表面温度分布

图2 1996FG3表面风化层的最小厚度估计
100亿年前的宇宙:星系同类相食是家常便饭
人类所在的银河系和她的兄弟姐妹是如何起源的一直是天文学家研究的热点问题。借助世界上最先进的天文望远镜,可以追踪到星系一族从100多亿年前的宇宙早期到今天多方面物理特征的变化,从而推断出星系形成和演化的完整图景。100亿年前后(红移2左右)是宇宙中恒星形成活动最剧烈的时期,近邻宇宙中的大质量星系中的主体恒星即形成于此时期。对这一宇宙时期的活动星系的详细“考古”研究,有助于确定激发星系恒星形成活动的物理机制,增进对高红移宇宙的认识。
紫金山天文台的星系研究团队与其合作者们利用位于世界最好的地面天文观测台址之一的美国夏威夷的3.6米口径CFHT望远镜近3晚的观测时间,成功获得南天一个深场观测天区的近400平方角分最深的窄带观测。研究者们利用这一独有观测,结合其他观测数据,可以从图像探测到数以万计的各类天体中,精确证认出红移z=2.24(100亿年前)正在大规模形成恒星的星系,并系统研究它们的能谱分布、形态、Hα发射线等多方面特征。研究发现,这些强Hα发射线星系与通常颜色选的恒星形成星系类似,质量介于约十亿至千亿太阳质量范围,呈现恒星形成率与星系质量的相关关系和消光与星系质量相关关系。而哈勃空间望远镜的高分辨率、高灵敏度成像观测揭示这些100亿年前发射线星系具有多样性的形态。
“这些星系有近一半是并合和相互作用星系,表明100亿年前的宇宙与现如今的宇宙中情形大不相同,那时候星系同类相食是家常便饭,而如今星系的演化则‘文明’了很多。” 紫金山天文台研究员郑宪忠博士这样说到。通过合并其他同伴来发展壮大已经被许多研究证实是驱动星系恒星演化的关键物理机制之一。在此过程中,还会触发最剧烈恒星形成活动。研究同时指出,这类发射线星系的数密度没有此前估计的多,这类星系的Hα发射线光度函数与恒星形成星系的质量函数形式非常类似。这一相似性实际反映了恒星形成星系的恒星形成率和恒星质量间的紧密相关关系,亦即描述星系恒星活动基本规律的“主序”关系。
这一研究成果发表在美国《天体物理杂志》上,文章全文可见于http://iopscience.iop.org/0004-637X/784/2/152/。研究所用CFHT望远镜观测时间通过有偿使用国外望远镜时间计划(TAP)获得,价值相当于人民币30万元。

|
基于CFHT望远镜近红外窄带证认的56个100亿年前的Ha发射线星系的哈勃空间望远镜高分辨率图像
(每个图片视场对应物理尺度50kpc,相当于16.3万光年距离) |
|
|
简讯:
-
3月15日,小天文爱好者观星紫金山。
-
3月19日,紫台和玄武区关工委共建“玄武区青少年问天科技站”。
-
3月25日,紫台杨宾获教育部港澳台侨学生奖学金硕士一等奖。
-
4月12日,省在宁部属科研院所职工乒乓球比赛圆满落幕,紫台男队获团体第四名。
-
4月21日,紫台召开离退休职工大会。
-
4月29日,紫台开展安全检查。
-
4月9日,紫台科普兴趣小组举行春季观星活动。